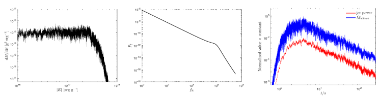
与潮汐瓦解事件相似的GRB 211211A和GRB 060614光变曲线衰减阶段呈现出剧烈的涨落特征,该工作将其根源追溯至潮汐瓦解后回落物质在能量空间的质量分布dM/dE所存在的波动。该研究提出,在瓦解过程中,自引力、激波加热以及湍流等因素会在回落物质的质量分布上引入扰动,其功率密度谱遵循fEβ的形式。模拟分析表明,喷流功率能够有效地保留这种回落过程的波动特性,尽管吸积过程会抑制短时标的涨落。研究发现,当波动指数β约为-1时,所产生的喷流光变曲线能够很好地再现GRB 211211A、GRB 060614以及TDE Sw J1644+57的观测特征,并且对观测数据进行的功率谱分析也独立地验证了β~-1这一结果。

图1:dM/dE在能量空间中的分布(左)及其相应的功率谱(中)。右图则展示了模拟得到的回落率以及相应的光变曲线。
图2:模型光变曲线与观测的比较。
论文题目:Variabilities of Gamma-Ray Bursts from the Dynamics of Fallback Material after Tidal Disruption
相关成果已被《The Astrophysical Journal》杂志发表
论文作者:李云鹏(博士生),林达斌(通讯作者),黎国宇,周子民,梁恩维
论文链接:https://iopscience.iop.org/article/10.3847/1538-4357/add3ff
该研究聚焦于伽马射线暴中喷流进动现象的动力学演化,揭示了其并非以固定周期进行,而是受到回落吸积过程与中心黑洞协同演化的深刻影响。该模型表明,喷流进动周期在早期回落阶段会快速下降,随后由于吸积盘表面物质的向外扩散而近乎线性增长,这种独特的演化模式直接导致了光变曲线中脉冲间隔与脉冲宽度随时间逐渐增大的观测特征。研究通过拟合GRB 171126A和GRB 211129A等多脉冲暴的光变曲线,论证了喷流进动模型的解释能力,并指出进动周期的绝对值和增长速率敏感地依赖于吸积盘的粘滞参数、厚度比、黑洞质量与自旋以及回落物质的总质量等关键参数,而系统的几何构型则主要调制了脉冲的幅度。

图1:进动模型卡通图。

图2:进动模型对观测的拟合。
论文题目:Jet precession in gamma-ray bursts: The roles of fallback accretion and disk dynamics
相关成果已被《Astronomy & Astrophysics》杂志发表
论文作者:李云鹏(博士生),林达斌(通讯作者),黎国宇,梁恩维
论文链接:https://doi.org/10.1051/0004-6361/202555061